Key events Show key events only Please turn on JavaScript to use this feature
Starmer to visit China with British business leaders next week
Keir Starmer will reportedly visit China next week after controversial plans for Beijing to build a vast embassy in London were approved by his government, Ben Quinn reports.
Farage says his outside intersts 'complicated' as he apologises for breaking Commons rules 17 times by declaring earnings late
Nigel Farage, the Reform UK leader, has apologised to the parliamentary commissioner for standards for failing to declare income received in the Commons register of members’ interest on time on 17 separate occasions. In total, the earnings were worth more than £380,000.
Failing to declare interests within the 28-day deadline is a breach of the Commons code of conduct. But the commissioner, Daniel Greenberg, has the option of using a “rectification” process if he deems that an MP has made an honest mistake, and in these cases the breaches do not get referred to the Commons standards committee for possible punishment.
In a report published explaining why rectification was appropriate in this case, Greenberg said:
During my investigation, I established that there had been 17 breaches of rule 5 of the code by Mr Farage’s failure to add interests within the 28-day period 10 set by the House.
Having met with Mr Farage to discuss how these late registrations occurred, I concluded that the failure to register these interests on time was inadvertent because of staffing and other administrative issues.
In his report, Greenberg also includes a letter from Farage in which Farage said:
In relation to my alleged breach of rule 5 of the code of conduct for Members, I accept that I have breached this section of the code and take full responsibility, and I would first of all like to say I am sincerely sorry.
The late declarations … fall short of what you expect and indeed what I expect from public figures. This was an administrative error on behalf of me and my team, for which I can only reiterate our sincere apologies.
Unlike most members, I have a very complicated and complex set of interests, including my work as a TV presenter and as a successful private businessman, most of which were built long before I was elected as a member of parliament. Compared to most MPs, I have an unusually high number of interests which need to be declared, and I have always and will always continue to declare these. Please let me reassure you, there was no malicious intent to deceive or mislead you or the public in the lateness of these declarations; it was an honest and genuine error.
Farage also told Greenberg he did not claim any expenses as an MP.
And, in a subsequent letter, he said he had been “extremely let down by a very senior member of staff” in this case.
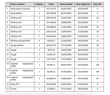
In his report, Greenberg included this list of the interests declared late by Farage.

Commenting on the report, a Labour party spokesperson said:
Nigel Farage is so distracted with tempting failed Tory politicians into his party that he can’t even get the basics right. He isn’t on the side of working people - he’s just lining his pockets when he should be standing up for his constituents.
He boasts about making money ‘because I’m Nigel Farage’, raking in millions through various outside jobs. But he neglects to do the important work that hard-pressed taxpayers fork out for him to do.
Labour will tighten the rules on MPs’ second jobs to make sure the public get the attention they expect and deserve from their elected representatives.
Ed Miliband defends Starmer’s ‘calm’ response to Trump as world leaders amp up rhetoric
Good morning. On Wednesdays, when it’s PMQs, the prime minister and the leader of the opposition are used to being the centre of attention at Westminster. But, with Donald Trump due to speak at Davos this afternoon – and European and other democratic leaders increasingly worried his Greenland imperialism ambitions will tear apart Nato – most MPs (and probably most Guardian readers too) will be more interested in what the US president has to say.
Some opposition leaders, and some Labour MPs, would like Keir Starmer to be a bit more robust – more like Mark Carney, the Canadian PM, or Gavin Newsom, the Canadian governor, or Emmanuel Macron, the French president, or Gordon Brown, the former Labour PM, or even Bart De Wever, the Belgian PM.
But, so far, Keir Starmer has resisted calls to be more confrontational. While clearly stating his oppostion to Trump’s call for the US to be allowed to buy or annex Greenland, he has avoided saying anything provocative, and has implied that the UK would not even join the EU in imposing retaliatory tariffs on the US, in response to the tariffs Trump says he will impose on some Nato countries that have opposed his Greenland ambitions.
In a good analysis, Pippa Crerar explains why Starmer is doing this – and why his cabinet colleagues are backing his “keep calm and carry on” strategy.
And in interviews this morning Ed Miliband, the energy secretary, said that Starmer was right to respond to Trump in the way he is doing. He told Sky News:
The bigger picture here is that the prime minister is, I think, navigating a really difficult international situation with great skill and in our national interest.
I know some people will want to say, why hasn’t the prime minister been matching Donald Trump tweet-for-tweet, all of that. I honestly say to you, we would be in a much worse position as a country.
He has shown calm leadership, which got us the first trade deal with the US, which got us the lowest tariff.
Now this is a very challenging situation, and we’ve got a principle, which is we seek common ground with Donald Trump, but where we disagree, we say so, and that’s what he said on Greenland.
But no, I think Keir Starmer’s leadership is absolutely right on this and I think at this stage, it’s about de-escalation and finding a way through this tricky situation.
Here is the agenda for the day.
Noon: Keir Starmer faces Kemi Badenoch at PMQs.
1.30pm (UK time): Nigel Farage, the Reform UK leader, speaks at an event at Davos.
2.30pm (UK time): Yvette Cooper, the foreign secretary, speaks at an event at Davos.
Late afternoon: Peers debate the children’s wellbeing and schools bill. They will vote on an amendment to ban under-16s from using social media. The vote is expected at around 6pm.
If you want to contact me, please post a message below the line when comments are open (between 10am and 3pm), or message me on social media. I can’t read all the messages BTL, but if you put “Andrew” in a message aimed at me, I am more likely to see it because I search for posts containing that word.
If you want to flag something up urgently, it is best to use social media. You can reach me on Bluesky at @andrewsparrowgdn.bsky.social. The Guardian has given up posting from its official accounts on X, but individual Guardian journalists are there, I still have my account, and if you message me there at @AndrewSparrow, I will see it and respond if necessary.
I find it very helpful when readers point out mistakes, even minor typos. No error is too small to correct. And I find your questions very interesting too. I can’t promise to reply to them all, but I will try to reply to as many as I can, either BTL or sometimes in the blog.

3 months ago
62

















































